|
AMDEC
|
L'Analyse des Modes de Défaillance, de leurs Effets et de leur Criticité est un outil
de Sûreté de Fonctionnement. C'est une démarche qui consiste à identifier au niveau
d'un système ou d'un de ses sous-ensembles, les modes potentiels de défaillance de
ses éléments, leurs causes et leurs effets. Elle a entre autres pour objet de déterminer
les points faibles du système et d'y apporter des remèdes en conception.
|
|
ASL
|
L’analyse du soutien logistique a pour objectif :
- d’optimiser les caractéristiques du système et de son soutien :
- pour répondre aux exigences de coût global / disponibilité
- par l'étude d'alternatives et le choix des meilleurs compromis
Ces études, qui sont répétées de façon itérative pendant la conception/réalisation,
couvrent les domaines suivants : Analyse fonctionnelle, sûreté de fonctionnement
(fiabilité, maintenabilité, disponibilité, sécurité), analyse des tâches de maintenance,
analyse des niveaux de réparation, modularité, testabilité, AMDEC.
L’ensemble des données produites par ces analyses est regroupé dans une base de données
logistique.
|
|
Coûts directs et indirects
|
Les coûts directs peuvent être facilement affectés (sans ambiguïté et sans analyse
intermédiaire) à un système car ils ne se rapportent qu'à ce système.
Les coûts indirects se rapportent à plusieurs systèmes et doivent faire l'objet d'une
répartition (à l'aide d'une clé) avant d'être imputés à chacun des systèmes. Les
coûts indirects (et donc imputables à plusieurs systèmes) ne se comportent pas de
la même manière avec l'introduction d'un nouveau système. Certains coûts indirects
peuvent varier tandis que d'autres restent sans changement. Les notions "fixe" et
"variable" sont alors définies relativement à la situation précédant l'introduction
du nouveau système.
|
|
Densité de probabilité
|
Une VA discrète notée X est définie par un ensemble de couples (xi / pi) où les xi
désignent les valeurs de X est les pi les probabilités associées. Il est indispensable
que la somme des pi soit égale à 1.
Lorsque la VA est continue, le nombre de valeurs possibles étant infini, il n'est
pas possible d'associer une probabilité à chaque valeur. Dans ce cas, on définit
la probabilité associée à chaque petit intervalle de l'ensemble des valeurs possibles.
Pour cela, on associe à chaque valeur x de X un intervalle [x ; x+dx], avec dx très
petit, auquel on associe une probabilité f(x) dx.
f(x) dx = Proba(x < X < x+dx). La fonction "f" est la densité de probabilité de la
variable X.
|
|
Ecart type
|
Les variables aléatoires sont généralement caractérisées par plusieurs paramètres
dont les plus importants sont la moyenne (caractéristique de tendance centrale) et
l'écart type (caractéristique de dispersion). L'écart type est une mesure de l'écart
entre la moyenne et les valeurs de la variable.
Pour une moyenne donnée, la dispersion des valeurs possibles autour de la moyenne
est d'autant plus grande que l'écart type est élevé. Lorsque l'écart type est petit,
les valeurs possibles sont proches de la moyenne. Le risque d'obtenir une valeur
très éloignée de la moyenne est alors faible.
|
|
Éléments de soutien
|
Un système est généralement décomposé en deux ensembles de produits : le système
principal qui assure la ou les fonctions attendue(s) (par exemple avion, camion,
radar…) et les éléments de soutien qui regroupent l'ensemble des moyens logistiques
à mettre en place (ou à adapter à partir d'éléments existants), spécifiques au système,
pour la durée de vie du système. Il s'agit par exemple des données techniques et
de la documentation, des rechanges, des équipements de test et de soutien, des moyens
de formation, des infrastructures…
Un objectif majeur du soutien logistique intégré (SLI) est d'assurer la cohérence
entre le système principal et les éléments de soutien lors de la conception du système
afin d'obtenir la disponibilité souhaitée au moindre coût global (qui rappelons le
inclut l'acquisition, l'exploitation et le soutien du système principal et des éléments
de soutien).
Cependant, et par abus de langage, le terme système est souvent utilisé pour désigner
le système principal (peut-être même dans ce site),
|
|
Management des risques
|
C’est une démarche d'anticipation des évènements redoutés dans le déroulement d'un
projet qui consiste à :
- identifier les événements redoutés susceptibles de mettre en cause les objectifs
du projet,
- estimer la criticité des risques en termes de probabilité d’occurrence et de gravité
des conséquences,
- mettre en place les actions de maîtrise des risques du projet à partir de la liste
des risques triés par ordre de criticité décroissante,
- suivre les risques en relation avec les actions mises en place et à capitaliser le
retour d'expérience.
|
|
MLDT
|
Mean Logistic Delay Time : temps moyen d'attente logistique avant une intervention
corrective (ou curative).
Ce temps moyen d'attente est associé aux ressources matérielles et humaines mises
en place pour assurer le soutien du système (par exemple un parc de matériels) en
exploitation. Une attente pouvant être provoquée par un manque de personnels, une
rupture de stock de rechanges, un taux d'occupation trop important des moyens de
soutien, etc., la durée moyenne d'attente est directement liée au dimensionnement
de ces ressources.
|
|
Modélisation
|
Un modèle est une représentation simplifiée d'un système réel, conçue et utilisée
pour évaluer et prévoir certains comportements de ce système. Il ne s'agit pas d'une
représentation unique de la réalité; ainsi la modélisation d'un avion est différente
selon que l'on souhaite étudier ses caractéristiques aérodynamiques, ses performances
opérationnelles, sa fiabilité, ses coûts, etc. Seuls les modèles abstraits sont concernés
ici, à l'exclusion de toute reproduction matérielle telles que maquettes ou modèles
réduits.
Ici, un modèle est une représentation mathématique ou algorithmique simplifiée mais
suffisamment fidèle du projet pour fournir des estimations prévisionnelles crédibles
du coût global.
Un modèle peut être déterministe ou stochastique. Dans le deuxième cas, le comportement
aléatoire du système est représenté par des lois de probabilité.
Un modèle contient généralement d'autres modèles. C'est le cas pour la modélisation
du coût d'un projet lorsque les risques sont eux-mêmes modélisés par des variables
aléatoires.
Lorsque le système étudié est connu, le modèle permet de prévoir le comportement
du système en réponse à une entrée (utilisation déductive du modèle). Dans le cas
contraire (utilisation inductive), le modèle permet de définir certaines caractéristiques
du système afin d'obtenir un comportement ou un résultat souhaité. Le modèle est
alors utilisé comme outil d'aide à la conception du système.
Quelques Techniques de base utiles en modélisation
Mathématiques, probabilités et statistiques, simulation, simulation de Monte-Carlo,
estimation des coûts, analyse des risques, modélisation économique et financière,
FMD (fiabilité, maintenabilité, disponibilité), gestion et dimensionnement des stocks
de rechanges.
|
|
MTBF
|
Mean Time between Failures = temps moyen de fonctionnement d'un dispositif entre
2 défaillances. Le terme dispositif désigne aussi bien un composant qu'un système
complexe.
Lorsqu'un élément a un taux de défaillance (ou taux de panne) lda constant, le MTBF
est égal à 1/lda (cela est faux si le taux de panne n'est pas constant). Si par exemple
le taux de défaillance est égal à 10, l'élément a une défaillance en moyenne toutes
les 1000 heures de fonctionnement.
Le MTBF d'un système peut être calculé à partir des MTBF des éléments qui le composent.
|
|
SLI
|
Le soutien logistique intégré est défini comme une approche coordonnée, unifiée et
itérative de la gestion et des activités techniques nécessaires à :
- Intégrer la prise en compte du soutien dans la conception des systèmes et équipements
(en particulier à travers ses spécifications opérationnelles et techniques), en accord
avec les objectifs de disponibilité et de coût
- Développer les éléments du soutien
- Acquérir et fournir le support requis durant toute la vie opérationnelle.
Le SLI a pour objectifs :
- La recherche d'un haut niveau de fiabilité et de disponibilité opérationnelle
- La réduction du coût global
|
|
Soutien logistique
|
Le soutien logistique regroupe l'ensemble des procédures et prestations destinées
à assurer la disponibilité d'un système pendant sa durée de vie, en tenant compte
des conditions d'utilisation. Ces procédures et prestations sont regroupées en six
grandes fonctions.
- Management
- Maintenance
- Réapprovisionnement
- Conditionnement, emballage, manutention, stockage et transport (CEMST)
- Formation continue
- Maintien de l'aptitude au soutien
|
|
Système
|
Le terme système, utilisé ici de façon générique, peut être définit comme un ensemble
d'éléments (sous systèmes ou composants) qui fonctionnent de façon coordonnée afin
de concourir à un résultat. L'analyse du coût global peut être limitée à un sous
système.
Exemples de systèmes : un équipement, un matériel terrestre, aérien ou naval, un
ouvrage, un bâtiment, un ensemble fonctionnel tel qu'un hôpital, une installation
sportive, une prison, un parc d’éoliennes, un aéroport, un parc de loisirs.
|
|
Taux de rentabilité interne (TRI)
|
Un investissement peut être couvert par de la dette et des fonds propres.
Soit l'échéancier constitué d'une parts des fonds propres apportés et d'autres part
des dividendes distribués pour rémunérer ces fonds propres. Le taux de rentabilité
interne de l'investissement est égal à la valeur du taux d’actualisation qui annule
la VAN de cet échéancier.
C'est le taux d’intérêt pour lequel la valeur actuelle des dividendes est égale
à la valeur actuelle des fonds propres.
|
|
VA uniforme
|
Une variable est définie par une loi uniforme si toutes ses valeurs ont la même probabilité.
|
|
Valeur actuelle et actualisation
|
L'introduction d'un taux d'actualisation (de dépréciation, de déflation) procède
du principe qu'un euro aujourd'hui a plus de valeur qu'un euro dans un an. Les montants
annuels d'un échéancier de dépenses, même s'ils sont identiques, n'ont donc pas la
même valeur actuelle pour le décideur.
Si "a" est le taux d'actualisation (les Anglo-saxons utilisent le terme "discount
rate"), la valeur actuelle d'un euro dans 1 an est égale à 1/(1+a) (donc inférieure
à 1, "a" étant compris entre 0 et 1). Il s'ensuit que la valeur actuelle d'un euro
dans n années est égale à 1/(1+a)n si les taux d’actualisation sont constants.
1/(1+a)k est le coefficient d'actualisation de la k-ème année.
Pour transformer un échéancier en euros actualisés, il suffit de multiplier le montant
de chaque année par le coefficient d'actualisation de l'année. La somme des montants
de l'échéancier est alors égale à la valeur actuelle du projet, souvent désigné par
VAN (valeur Actuelle Nette).
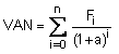
Si Fi est un échéancier de dépenses et de recettes sur n+1 années (l’année en cours
est l’année 0), la VAN de l'échéancier est égale à :
|
|
Valeur résiduelle
|
Lorsque l'étude porte sur un projet dont la durée est inférieure à la durée de vie
du bien, les coûts de retrait de service sont remplacés par la valeur résiduelle
en fin de projet.
Cette valeur provient généralement d'une estimation théorique basée sur une hypothèse
de dégressivité (linéaire ou non) de la valeur en fonction de l'âge. Cette hypothèse
peut être mise en défaut par exemple si le bien prend de la valeur avec l'âge ou
si les progrès technologiques le rendent obsolète. C'est pourquoi il est conseillé
d'accompagner cette estimation d'un "risque de valeur résiduelle" à modéliser au
cas par cas en fonction de la nature du système et du contexte prévisible à l'échéance
du projet.
La valeur résiduelle est systématiquement prise en compte (en euros actualisés) pour
comparer plusieurs options (analyse économique). Lorsque le coût global est utilisé
pour prévoir les échéanciers de dépenses et de recettes (analyse financière), sa
prise en compte dépend du scénario.
|
|
Valeur à risque (VaR)
|
La valeur à risque (en statistique, centile ou quantile) d'une variable aléatoire
représente la valeur maximale associée à une probabilité donnée (ou à un risque donné).
Par exemple, dans 95% des cas, la valeur de la variable X est inférieure à sa VaR
à 95% (ou à 5% de risque).
|
|
Variable aléatoire
|
Une variable déterministe (ou certaine) est définie par une valeur unique. Par exemple,
la taille de Jean est égale à 1,72 mètres.
Si l'on considère la taille d'un élève tiré au hasard dans la classe de Jean, on
constate qu'elle est comprise entre 1,61m pour le plus petit et 1,85 pour le plus
grand. La taille d'un élève de la classe de Jean est alors une variable aléatoire
(VA) définie pour l'instant par ses valeurs minimale et maximale. A cette variable
aléatoire, on peut associer une valeur moyenne obtenue en faisant la moyenne des
tailles de la classe.
Une variable aléatoire peut être qualitative ou quantitative.
Dans le premier cas, les valeurs possibles sont définies par des modalités non mesurables,
par exemple les partis politiques (UMP, PS, MODEM, FN, PC, etc.), les couleurs (Bleu,
blanc, rouge, etc.), les appréciations attribuées par les professeurs de Jean (A,
B, C, D, E). Si les 2 premières sont dites nominales, la 3ème est ordinale car elle
permet de définir un ordre sur les élèves notés.
Les variable quantitatives sont définies par des valeurs numériques. Elles peuvent
être discrètes (elles ne possèdent alors que des valeurs entières) ou continues (valeurs
réelles). Le résultat d'un lancer de dés est une VA discrète qui prend les valeurs
de 1 à 6. La taille des élève de la classe de Jean est une VA continue, bien que
la notion de continue soit limitée ici par la précision de l'instrument de mesure
qui procède à des arrondis au cm près.
Une variable aléatoire est décrite par une distribution de probabilité qui définit
l'ensemble de ses valeurs (qualitatives ou quantitatives) et les probabilités associées.
Les valeurs possibles pour un lancer de dès sont définis par l'ensemble {1, 2, 3,
4, 5, 6}, la probabilité de chacune des valeurs étant égale à 1/6 si le dés n'est
pas truqué. A la veille d'élections, les organismes de sondage diffusent les probabilités
de vote pour chacun des partis.
Les VA sont décrites par des distributions (ou lois) paramétriques discrètes (Bernouilli,
Binomiale, Hypergéométriques, Poisson…) ou continues (Normale, exponentielle, LogNormale,
Gamma…). Elles peuvent aussi être décrites par des lois empiriques définies par l'utilisateur.
|
|
|
|
|
|
|